Publications 📜

Reconfigurable Hinged Kirigami Tessellations
Going with the Flow

Segall, Ren, Padilla, Sorkine-Hornung

ACM Transactions on Graphics

Cut and rotate flat
sheets into 3D shapes.

SIGGRAPH
2025
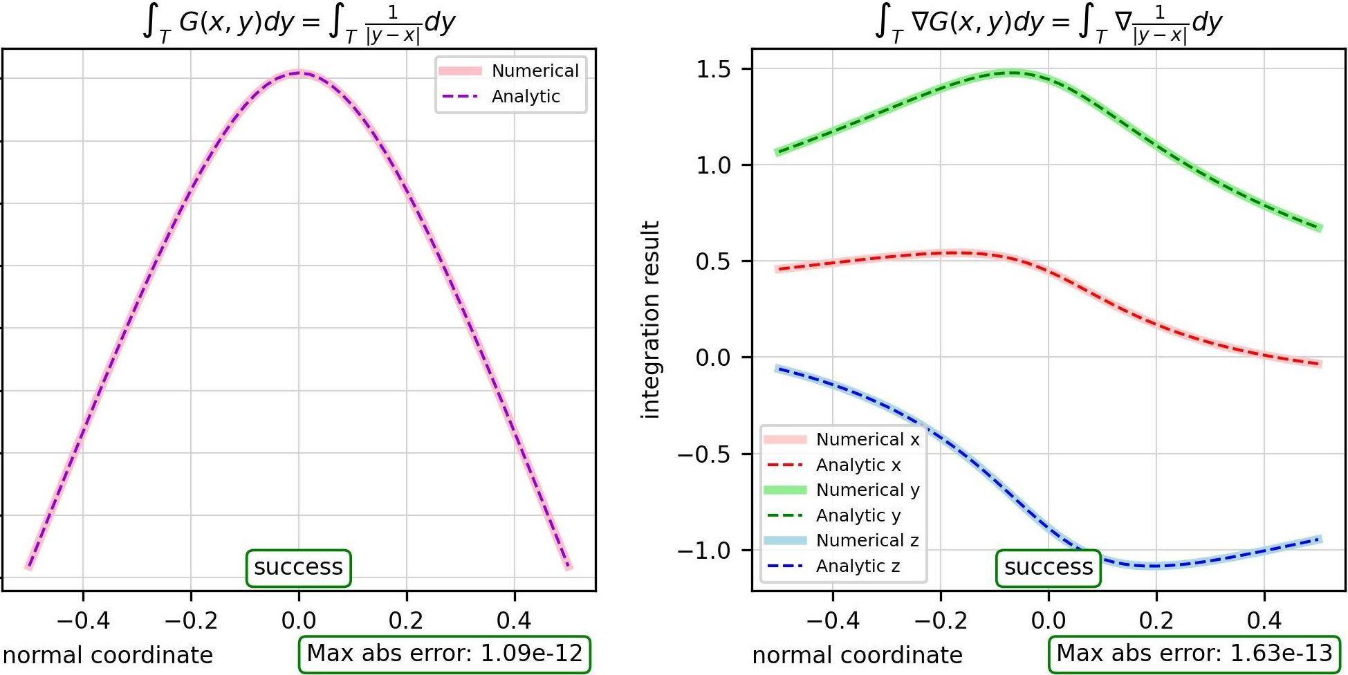
Exact 3D Green's Function Integrations on Triangles
Going with the Flow

Marcel Padilla

Python Implementation

Exact analytic integral computations.

Code
2025
Going with the Flow
Going with the Flow

Soliman, Padilla, Gross, Knöppel, Pinkall, Schröder

ACM Transactions on Graphics

Fast and accurate motion in fluids without simulating the fluid.

SIGGRAPH
2024
The Solar Corona: Modeled, Discretized, Visualized
The Solar Corona

Marcel Padilla

Doctoral Dissertation, TU Berlin

Detailed solar magnetic field theory and image generation.

PhD
2023
Motion from Shape Change
Motion from Shape Change

Gross, Soliman, Padilla, Knöppel, Pinkall, Schröder

ACM Transactions on Graphics

Estimated motion in viscous medium without running a fluid simulation.

SIGGRAPH
2023
4D Atlas: Statistical Analysis of the Spatiotemporal Variability in Longitudinal 3D Shape Data
4D Atlas

Laga, Padilla, Jermyn, Kurtek, Bennamoun, Srivastava

Transactions on Pattern Analysis and Machine Intelligence

Temporal shape matching.

IEEE
2023
Filament Based Plasma
Filament Based Plasma

Padilla, Gross, Knöppel, Chern, Pinkall, Schröder

ACM Transactions on Graphics

Plasma loop modeling.

SIGGRAPH
2022
On Bubble Rings and Ink Chandeliers
On Bubble Rings and Ink Chandeliers

Padilla, Chern, Knöppel, Pinkall, Schröder

ACM Transactions on Graphics

Vortex filament dynamics.

SIGGRAPH
2019
Point Vortex Dynamics On Closed Surfaces
Point Vortex Dynamics

Marcel Padilla

M.S. Thesis, TU Berlin

Surface fluid dynamics theory.

MSc
2018
The Nearest Hermitian Inverse Eigenvalue Problem Solution with Respect to the 2-Norm
Nearest Hermitian Inverse Eigenvalue Problem

Padilla, Kolbe, Chakraborty

DAAD RISE Worldwide Internship Results

Matrix geometry analysis for eigenvalue restoration.

arXiv
2017
The Zeros of Random Sections on Line Bundles
Zeros of Random Sections on Line Bundles

Marcel Padilla

B.S. Thesis, TU Berlin

Root analysis of smoothed random fields.

BSc
2016
A.C.T.I.V.E. Superellipsoid-based CFD Visualization
A.C.T.I.V.E. Superellipsoid-based CFD Visualization

Herrmann, Padilla, Pastorelli

EuroVR, European Association of Virtual and Augmented Reality

Tensor field visualization in virtual reality.

EG
2014
Komplexe Funktionen Darstellen
Komplexe Funktionen Darstellen

Marcel Padilla

Junge Wissenschaft issue Nr. 94

Visualizing through matching parallel planes.

2012

Teaching 📖

Houdini Python Tips: Installing pip Packages and using IDEs.
python and houdini

Programming Resource

Very helpful updated practical info.

Resource
2025
Shape Modeling and Geometry Processing
smocking

University Course, ETH Zürich

Associate lecturer for Discrete Differential Geometry.

Course
2025
The Art of Presenting
The Art of Presenting

Math+, Berlin Mathematical School Seminars

Literature review on scientific presentations.

Workshop
2020
Geometry Processing and Applications
Geometry Processing and Applications

University Course, TU Berlin

Mathematical visualization and discrete differential geometry.

Course
2019
Houdini Tutorials Tailored for Mathematicians
Houdini Tutorials Tailored for Mathematicians

Open Course Material, TU Berlin

Using Houdini for research.

Course
2019

Exploration 🔮

The Super Serious & Legit Academic Tarot Deck
Academic Tarot Deck

An improvisational card game

78 academic-inspired tarot cards.

2024
Rotating Snakes Study
Rotating Snakes Study

Playing around with optical illusions

Python scripting fun.

2024
Mathematicians Reimagined
Mathematicians Reimagined

Playing around with AI

Restoring images with a modern touch.

2023
RGB Meltdown Experiment
RGB Meltdown Experiment

Experimenting with light effects

Creating the illusion of motion through color switching.

2023
Hyperbolic Tiling {3,7}
Hyperbolic Tiling {3,7}

Toying with hyperbolic geometry

Animating a triangular tiling.

2020
Nailing the Bunny
Nailing the Bunny

Hammering a minimal 3D Representation

Hammer + nails on board. Good.

2020
Sphere Eversion with Transparency Video
Sphere Eversion with Transparency Video

Rendering some geometry

Turning the sphere inside out without pinching it anywhere.

2018

ETH Zürich
Department of Computer Science
CNB G 108, Universitätstrasse 6
8092 Zürich, Switzerland

Notify me if encounter any website issues.

© 2025 Marcel Padilla 🐖🐖